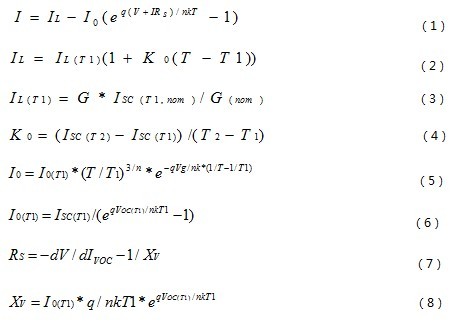
1 光伏组件在CASPOC中的仿真与建模 1.1 光伏组件的基本特性与最大功率点跟踪技术基础 首先光伏阵列是光伏发电系统的核心部件,它的物理基础是两种不同半导体材料构成的大面积P-N结,以及非平衡少数载流子在P-N结内建电场作用下形成的漂移电流。太阳电池单体的等效电路图如图3,一个理想的太阳电池,它的等效串联阻抗Rs很小而等效并联阻抗Rsh很大,在一般性的分析中二者都可忽略,忽略了等效并联阻抗Rsh,对太阳能电池进行了比较精确的建模,能够比较准确的反映太阳能电池在不同辐射强度和温度下的输出特性。该模型的数学表达如下:
式中:I为太阳能电池的输出电流,V为输出电压,为短路电流,是太阳电池在无光照时的饱和电流,n为二极管曲线因素,q为电子电荷,K为玻尔兹曼常数,G为辐射强度,G(nom)为标准辐射强度为1000Wm-2, T1为标准测试温度25°C(298K),ISC(T1,nom)为温度为T1,辐射强度为标准辐射强度时的短路电流,IL(T1)为温度为T1,辐射强度为G时的短路电流,Voc为开路电压,Vg为禁带宽度,晶体硅一般为1.12eV。  光伏组件的输出存在着功率最大点,特定的温度和光照条件下,组件能否工作在最大功率点取决于组件所带的负载大小,图4是光伏组件工作时的等效电路图,图5是用图解法得出光伏组件的工作点的示意图。图5中曲线为太阳能光伏组件的输出的电流电压(I-V)曲线,直线表示负载电阻的I-V特性,二者的交点即为光伏组件的工作点,工作点的电压电流既要符合光伏组件的I-V特性又符合负载自身的I-V特性。如果两条线的交点不在最大功率点,此时负载和光伏组件就处于失配状态,光伏组件所产生的电能就没有被充分利用。  1.2 CASPOC中光伏组件的建模与仿真 在CASPOC中用现成的光伏阵列模块,相关属性如图6所示。  这样我们就不必要在利用模型去搭建相关模型,只要将以上模块拖到工作区中,双击后,根据相关电池组件厂家提供的参数填写上述表格,就可以了。CASPOC中的光伏阵列的模型是基于光伏组件的特性建立的非常精确的数学模型,它综合考虑了光伏组件的材料、串并联的等效电阻、电感、电容,还考虑到了幅照强度、环境温度,其他环境系数等。通过CASPOC自身的算法编译生成,从而大大提高了仿真速度与精度。 基于以上算法,CASPOC中开发了相关最大功率点跟踪控制算法模块,如图7所示。只要输入光伏组件的电流与电压,对dP/dV加以控制,就可以保证系统最大功率输出,模型使用简单方便。  2 光伏系统在CASPOC中的仿真与建模 2.1 光伏组件特性仿真 有了以上模型,在CASPOC中很容易对光伏组件的特性进行仿真,一个简单的I-V,P-V曲线如图8所示。  2.2 光伏组件的MPPT仿真 增加MPPT功能模块后的CASPOC仿真模型如图9所示。在图9中,光伏组件通过一个DC/DC变换器接到负载,从仿真结果可以看出,通过控制DP/DV的值为0达到不断控制MOSFET的占空比,并通过PI控制环节达到系统MPPT的闭环控制。  2.3 并网光伏系统的仿真 电力电子是CASPOC的强项,在CASPOC的模块库中提供了不同层次的逆变器模型,以满足不同用户的开发需求,图10是一个完整的光伏并网发电系统,它有两级组成,前级为DC/DC变流器,用来实现光伏阵列的最大功率点跟踪,后级为DC/AC逆变器,用来实现并网逆变功能。 
|